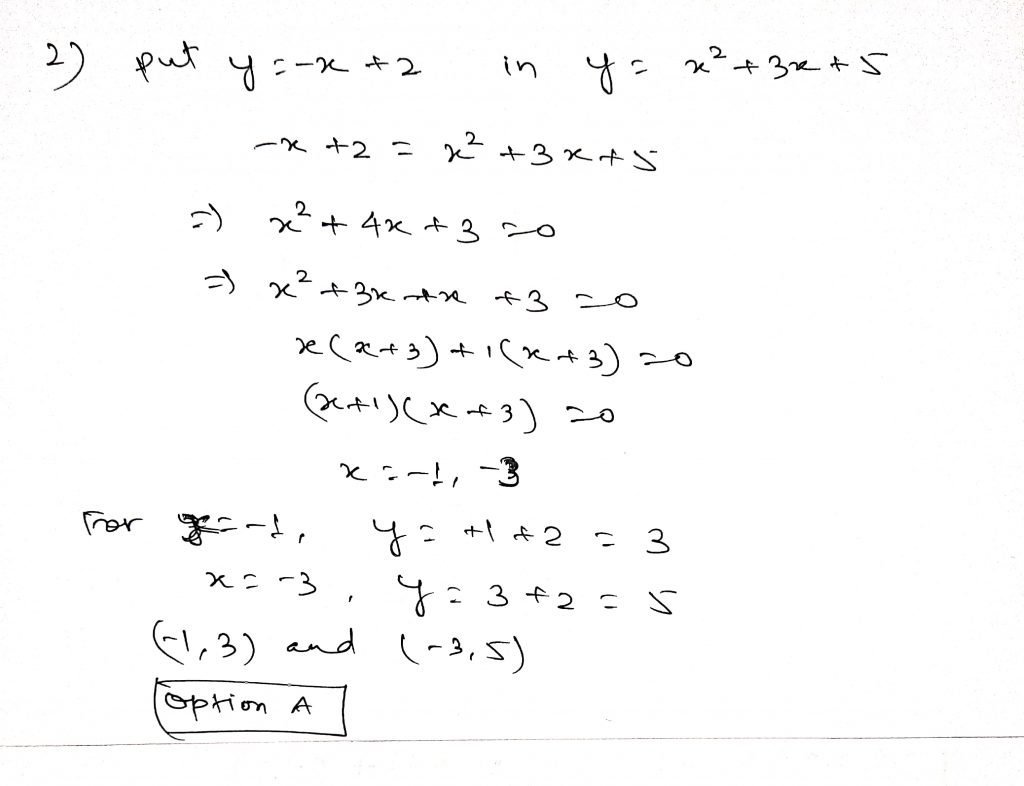
SOLVING CALCULUS PROBLEMS

Leave a Reply

Your email address will not be published. Required fields are marked *